New Project
- AJCrader
-
Topic Author
- Offline
- User
-

Registered
- Posts: 81
- Thanks: 1
New Project
08 Jul 2016 22:30
Just picked up this bike, traded a non-running 06 ZZR600 straight up...was hoping I could maybe get some ideas where to go to get parts to get this up and running...also, what parts I should look to get!
Attachment image.jpeg not found
AJ
Drag bike, 1220cc Z1R KZ project
Drag bike, 1220cc Z1R KZ project
Please Log in or Create an account to join the conversation.
- Patton
-
- Offline
- KZr Legend
-

Registered
- Posts: 18567
- Thanks: 2103
Re: New Project
09 Jul 2016 19:16
Ignition wiring for a total loss ignition without any charging system components should be relatively simple.
Is the Dyna-S complete with its red wire, green wire and black wire?
Which of the following ignition components are already fitted?
Two separate ignition coils;
Four spark plug wires;
Four B8ES spark plugs;
Four caps to connect the plug wires to the spark plugs;
Battery;
Negative battery cable;
Red or red/yellow wire from battery positive to each coil?
Good Fortune!
Is the Dyna-S complete with its red wire, green wire and black wire?
Which of the following ignition components are already fitted?
Two separate ignition coils;
Four spark plug wires;
Four B8ES spark plugs;
Four caps to connect the plug wires to the spark plugs;
Battery;
Negative battery cable;
Red or red/yellow wire from battery positive to each coil?
Good Fortune!
1973 Z1
KZ900 LTD
KZ900 LTD
Please Log in or Create an account to join the conversation.
- Street Fighter LTD
-
- Offline
- Moderator
-

Registered
- TURBO, Its Better to be Blown than Injected
- Posts: 5099
- Thanks: 2292
Re: New Project
10 Jul 2016 06:12
For racing resources try looking at the sponsor page at Dragbike Magizine .com
Dave
Dave
Original owner 78 1000 LTD
Mr Turbo Race Kit, MTC 1075 Turbo pistons by PitStop Performance , Falicon Ultra Lite Super Crank, APE everything. Les Holt @ PDM's Billet Goodies . Frame by Chuck Kurzawa @ Logghe Chassis . Deep sump 5qt oil pan. RIP Bill Hahn
Please Log in or Create an account to join the conversation.
- AJCrader
-
Topic Author
- Offline
- User
-

Registered
- Posts: 81
- Thanks: 1
Re: Re:New Project
10 Jul 2016 06:22
To be honest I haven't taken a good look at it, and I am told it is a complete dyna s, I am very green when it comes to working on bikes...how will I know if the plus are B8ES? No battery...I will look and try to get pictures later today to help
Sent from my iPad using Tapatalk
Sent from my iPad using Tapatalk
AJ
Drag bike, 1220cc Z1R KZ project
Drag bike, 1220cc Z1R KZ project
Please Log in or Create an account to join the conversation.
- Patton
-
- Offline
- KZr Legend
-

Registered
- Posts: 18567
- Thanks: 2103
Re: Re:New Project
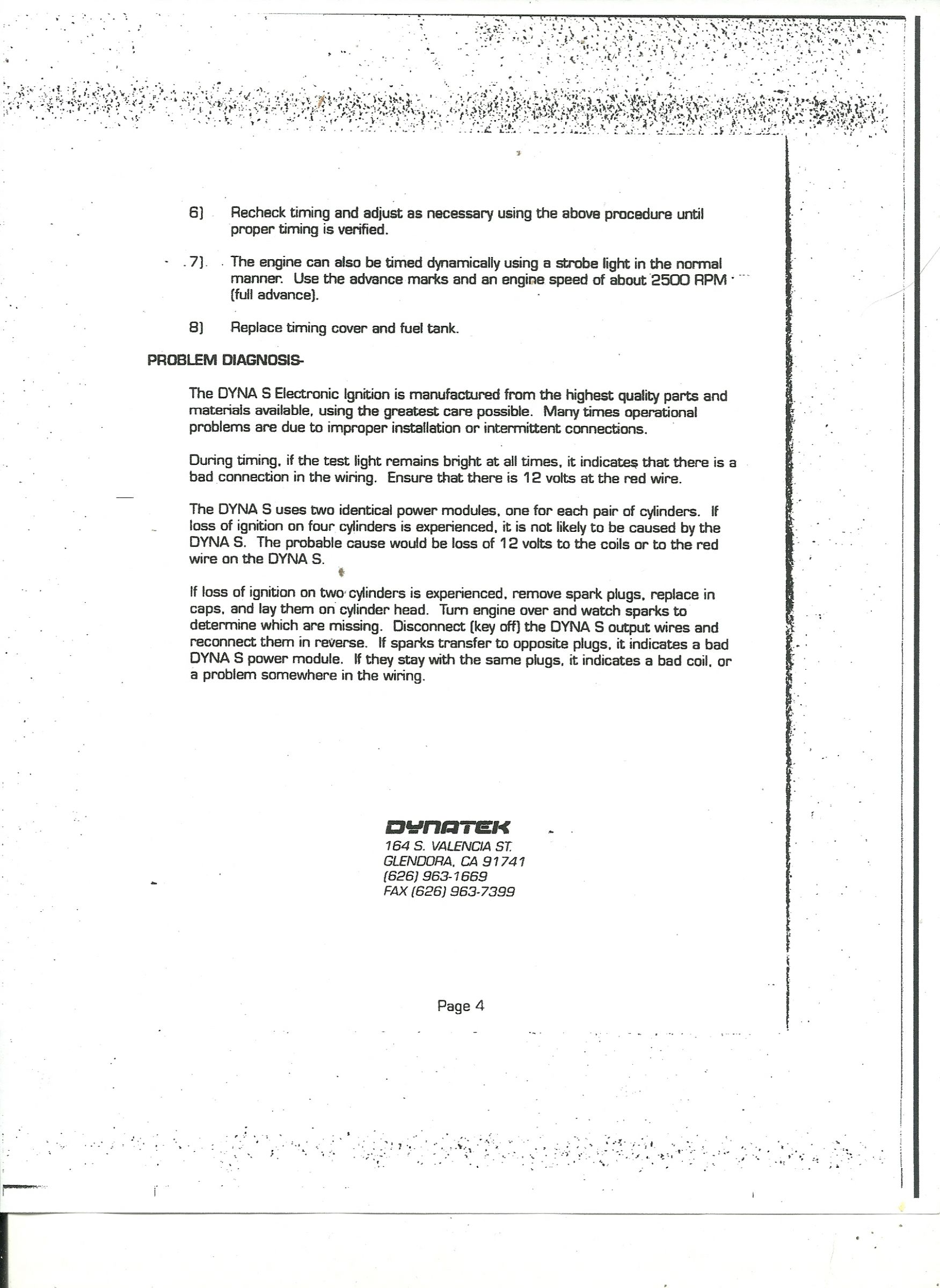
10 Jul 2016 07:26For info about how to interpret the code letters and numbers on the spark plug,
click here > www.blasterforum.com/threads/how-to-read...rk-plug-codes.43775/
To see the Dyna-S, first remove the "points cover."
Here's what the Dyna-S looks like:
Note the three wires
Good Fortune!
1973 Z1
KZ900 LTD
KZ900 LTD
Please Log in or Create an account to join the conversation.
- Patton
-
- Offline
- KZr Legend
-

Registered
- Posts: 18567
- Thanks: 2103
Please Log in or Create an account to join the conversation.
- SWest
-
- Offline
- Sustaining Member
-

Registered
- 10 22 2014
- Posts: 23714
- Thanks: 3005
Re: Re:New Project
10 Jul 2016 08:35
Z1b1000 1975 Z1b
kzrider.com/forum/11-projects/598262-kz-...-will-it-live#672882
kzrider.com/forum/2-engine/597654-poser?start=240#704229
kzrider.com/forum/11-projects/598262-kz-...-will-it-live#672882
kzrider.com/forum/2-engine/597654-poser?start=240#704229
Please Log in or Create an account to join the conversation.
- AJCrader
-
Topic Author
- Offline
- User
-

Registered
- Posts: 81
- Thanks: 1
Please Log in or Create an account to join the conversation.
- SWest
-
- Offline
- Sustaining Member
-

Registered
- 10 22 2014
- Posts: 23714
- Thanks: 3005
Re: Re:New Project
10 Jul 2016 17:36
B10ES are too cold.
Steve
Steve
Z1b1000 1975 Z1b
kzrider.com/forum/11-projects/598262-kz-...-will-it-live#672882
kzrider.com/forum/2-engine/597654-poser?start=240#704229
kzrider.com/forum/11-projects/598262-kz-...-will-it-live#672882
kzrider.com/forum/2-engine/597654-poser?start=240#704229
Please Log in or Create an account to join the conversation.
- Patton
-
- Offline
- KZr Legend
-

Registered
- Posts: 18567
- Thanks: 2103
Re: Re:New Project
10 Jul 2016 20:16 - 11 Jul 2016 06:30
Did a set of carburetors come with the bike?
And appears to also need carb holders.
Did spark plug wires come with the bike?
If not, Dyna offers a good relatively inexpensive set with caps already built-in (that attach to the plugs).
Am just guessing, but the extraordinarily cold-running B10ES spark plugs might have been part of efforts to compensate for high compression pistons.
Would suggest performing a compression test on each cylinder. Do the normal "dry" test first, followed by a "wet" test (add a teaspoon of oil through the spark plug hole just before the test).
A leak-down test would also give a better idea about condition of the motor's top end.
A leak-down test injects air pressure through the spark plug hole to pressurize the combustion chamber.
Can perform a poor-man's leak-down test by introducing compressed air into a spark plug hole and listening to where it escapes from the combustion clamber. This may be done at TDC or any other cam positions where both valves are fully closed. Top dead center (TDC) is when the piston is at its highest position. An easy way to tell TDC is by alignment of the T mark with the case mark when viewed through the timing window.
May introduce a spurt of compressed air by using a rubber cone-tip blow gun (rubber air nozzle) held into the spark plug hole. And of course keep holding it in position to keep air from coming back out the spark plug hole while listening for escaping air at other places. The air compressor should not be running while listening because the noise will likely drown out any sound of escaping air. Or just use a portable compressed air tank.
Air heard escaping from exhaust port indicates exhaust valve not fully closing (perhaps too tight clearance or damaged valve or valve seat).
Air heard escaping from carb intake indicates intake valve not fully closing (perhaps too tight clearance or damaged valve or valve seat).
Air heard escaping from crankcase breather indicates loss of compression past rings into crankcase (perhaps worn piston rings or cylinders).
Air heard escaping from head gasket area indicates loss of compression past head gasket (perhaps due to a blown head gasket).
A leaking valve may sometimes be resolved by adjusting the clearance to within specs.
A leaking head gasket may sometimes be resolved by torquing the head fasteners when the engine is stone cold (such as after sitting overnight).
Good Fortune!
And appears to also need carb holders.
Did spark plug wires come with the bike?
If not, Dyna offers a good relatively inexpensive set with caps already built-in (that attach to the plugs).
Am just guessing, but the extraordinarily cold-running B10ES spark plugs might have been part of efforts to compensate for high compression pistons.
Would suggest performing a compression test on each cylinder. Do the normal "dry" test first, followed by a "wet" test (add a teaspoon of oil through the spark plug hole just before the test).
A leak-down test would also give a better idea about condition of the motor's top end.
A leak-down test injects air pressure through the spark plug hole to pressurize the combustion chamber.
Can perform a poor-man's leak-down test by introducing compressed air into a spark plug hole and listening to where it escapes from the combustion clamber. This may be done at TDC or any other cam positions where both valves are fully closed. Top dead center (TDC) is when the piston is at its highest position. An easy way to tell TDC is by alignment of the T mark with the case mark when viewed through the timing window.
May introduce a spurt of compressed air by using a rubber cone-tip blow gun (rubber air nozzle) held into the spark plug hole. And of course keep holding it in position to keep air from coming back out the spark plug hole while listening for escaping air at other places. The air compressor should not be running while listening because the noise will likely drown out any sound of escaping air. Or just use a portable compressed air tank.
Air heard escaping from exhaust port indicates exhaust valve not fully closing (perhaps too tight clearance or damaged valve or valve seat).
Air heard escaping from carb intake indicates intake valve not fully closing (perhaps too tight clearance or damaged valve or valve seat).
Air heard escaping from crankcase breather indicates loss of compression past rings into crankcase (perhaps worn piston rings or cylinders).
Air heard escaping from head gasket area indicates loss of compression past head gasket (perhaps due to a blown head gasket).
A leaking valve may sometimes be resolved by adjusting the clearance to within specs.
A leaking head gasket may sometimes be resolved by torquing the head fasteners when the engine is stone cold (such as after sitting overnight).
Good Fortune!
1973 Z1
KZ900 LTD
KZ900 LTD
Last edit: 11 Jul 2016 06:30 by Patton.
Please Log in or Create an account to join the conversation.
- Kidkawie
-
- Offline
- User
-

Registered
- I bleed premix
- Posts: 1912
- Thanks: 243
Re: Re:New Project
10 Jul 2016 22:46AJCrader wrote: I am very green when it comes to working on bikes.
Why on Earth did you get that thing then? You cant throw stock parts at it and think its going to run right.
1975 Z1 900
1994 KX250 Supermoto
2004 KX125
1994 KX250 Supermoto
2004 KX125
Please Log in or Create an account to join the conversation.
- 650ed
-
- Offline
- User
-

Registered
- Posts: 15334
- Thanks: 2831
Re: Re:New Project
11 Jul 2016 04:17
Did you buy the bike specifically for drag racing? Ed
1977 KZ650-C1 Original Owner - Stock (with additional invisible FIAMM horn)
Please Log in or Create an account to join the conversation.
Moderators: Street Fighter LTD
