Charging woes :(
- Trackerkz650sr
-
Topic Author
- Offline
- Banned
-

Registered
- Posts: 43
- Thanks: 1
Charging woes :(
14 Mar 2019 19:11
Hey guys im in a jam and could use some guidance
Bike is a 1978 kz650 sr d model
My battery voltage drops from 12 to 11 volts as soon as i turn the key on which seems quite drastic
After a short ride the battery is at 4 volts or so
If i unplug the battery the volts start climbing
My questions are what is the perimiters for testing the stator?
How do i test the regulator?
And what grounds are needed?
The one behind the chain case cover (sproket side) is not connected to anything. I only have battery to ground on the motor case next to the kickstart
Is that sufficient or could my problem be that ground
Thanks in advance guys
Bike is a 1978 kz650 sr d model
My battery voltage drops from 12 to 11 volts as soon as i turn the key on which seems quite drastic
After a short ride the battery is at 4 volts or so
If i unplug the battery the volts start climbing
My questions are what is the perimiters for testing the stator?
How do i test the regulator?
And what grounds are needed?
The one behind the chain case cover (sproket side) is not connected to anything. I only have battery to ground on the motor case next to the kickstart
Is that sufficient or could my problem be that ground
Thanks in advance guys
Please Log in or Create an account to join the conversation.
- hardrockminer
-
- Offline
- Sustaining Member
-

Registered
- Posts: 3125
- Thanks: 1233
Re: Charging woes :(
15 Mar 2019 05:31
This video isn't for a 650 but it should help.
I have several restored bikes along with a 2006 Goldwing with a sidecar.
Please Log in or Create an account to join the conversation.
- TexasKZ
-
- Offline
- Platinum Member
-

Registered
- Posts: 8185
- Thanks: 2674
Re: Charging woes :(
15 Mar 2019 07:34 - 15 Mar 2019 07:48
The factory service manual has detailed testing procedures
If that is indeed a ground wire behind the sprocket cover, it needs to be connected to ground. Also be sure that the ground connections are clean and snug.
With the little information you have, my first suspect would be the battery, but you really should make systematic checks before tossing money at the problem.
I think the 1978 D1 and D1A had a single phase Dynamo, so the testing procedure will be a bit different from the video .
If that is indeed a ground wire behind the sprocket cover, it needs to be connected to ground. Also be sure that the ground connections are clean and snug.
With the little information you have, my first suspect would be the battery, but you really should make systematic checks before tossing money at the problem.
I think the 1978 D1 and D1A had a single phase Dynamo, so the testing procedure will be a bit different from the video .
1982 KZ1000 LTD parts donor
1981 KZ1000 LTD awaiting resurrection
2000 ZRX1100 not ridden enough
www.kzrider.com/11-projects/620336-anoth...uild-thread?start=24
1981 KZ1000 LTD awaiting resurrection
2000 ZRX1100 not ridden enough
www.kzrider.com/11-projects/620336-anoth...uild-thread?start=24
Last edit: 15 Mar 2019 07:48 by TexasKZ.
Please Log in or Create an account to join the conversation.
- Warren3200gt
-
- Offline
- User
-

Registered
- Posts: 1720
- Thanks: 907
Re: Charging woes :(
15 Mar 2019 07:47 - 15 Mar 2019 08:26
Unless its totally unlike other 650's which I doubt, the only wires behind the sprocket cover are the stator, starter motor live and the neutral light indicator switch. Does the neutral light come on when the ignition is on? Does the starter motor turn?
Other than that, as Texas says, check your earth to the engine case and test you battery.
Other than that, as Texas says, check your earth to the engine case and test you battery.
Last edit: 15 Mar 2019 08:26 by Warren3200gt.
Please Log in or Create an account to join the conversation.
- gordone
-
- Offline
- Sustaining Member
-

Registered
- Posts: 1533
- Thanks: 93
Re: Charging woes :(
15 Mar 2019 10:03
You are sure you don’t have a shortcut to ground?
Measure current consumtion with a multimeter?
If power drops when you turn the key, and you have charged the battery, I will say bad battery or leaking current to frame/ground.
Measure current consumtion with a multimeter?
If power drops when you turn the key, and you have charged the battery, I will say bad battery or leaking current to frame/ground.
1981 KZ650-D4, with 1981 z750L engine (Wiensco 810 big bore).
Project:
www.kzrider.com/forum/11-projects/607213...sr-1981-z750l-engine
Project:
www.kzrider.com/forum/11-projects/607213...sr-1981-z750l-engine
Please Log in or Create an account to join the conversation.
- Trackerkz650sr
-
Topic Author
- Offline
- Banned
-

Registered
- Posts: 43
- Thanks: 1
Re: Charging woes :(
15 Mar 2019 10:21
Ive had a few kz650s and they all have had a ground cable coming from behind the sproket cover.
I will replace it and hook it to the battery to see if it helps.
Bike runs great until the battery dies down
No neutral light etc. Its a custom build with a very simple harness.
To simplify my question
I have a 3 prong plug from my stator to the regulator
2 yellow and what appears to be a black or brown
What is the correct voltage these should read at idle and unplugged from the regulator?
(Trying to see if the regulator is faulty, it did get wet)
Story on the battery
Since this kind of no start issue started
I took the battery back and it in fact tested bad dropped a cell
So this one is new as of yesterday.
Thanks again for your input fellas
I will replace it and hook it to the battery to see if it helps.
Bike runs great until the battery dies down
No neutral light etc. Its a custom build with a very simple harness.
To simplify my question
I have a 3 prong plug from my stator to the regulator
2 yellow and what appears to be a black or brown
What is the correct voltage these should read at idle and unplugged from the regulator?
(Trying to see if the regulator is faulty, it did get wet)
Story on the battery
Since this kind of no start issue started
I took the battery back and it in fact tested bad dropped a cell
So this one is new as of yesterday.
Thanks again for your input fellas
Please Log in or Create an account to join the conversation.
- 650ed
-
- Offline
- User
-

Registered
- Posts: 15334
- Thanks: 2830
Re: Charging woes :(
15 Mar 2019 10:36 - 15 Mar 2019 10:36
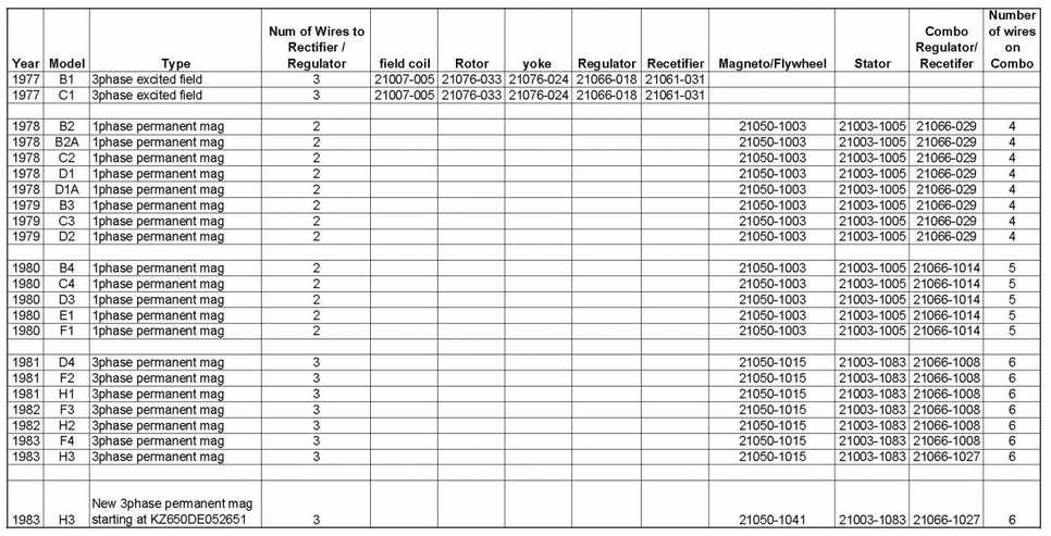
I would strongly encourage you to consult the Kawasaki Service Manual for you exact model KZ650. Keep in mind that Kawasaki used 5 different charging systems on the KZ650 bikes, and the charging systems varied depending on the exact year and model. The Kawasaki Service Manual will tell you how to troubleshoot the problem. Ed
1977 KZ650-C1 Original Owner - Stock (with additional invisible FIAMM horn)
Last edit: 15 Mar 2019 10:36 by 650ed.
The following user(s) said Thank You: TexasKZ
Please Log in or Create an account to join the conversation.
- Warren3200gt
-
- Offline
- User
-

Registered
- Posts: 1720
- Thanks: 907
Re: Charging woes :(
15 Mar 2019 10:50Now I'm intrigued. I have rebuilt several 650's and they all have the battery earth bolting to the engine on the right by the kick start. None have an earth in the sprocket case, although I've never rebuilt an SRTrackerkz650sr wrote: Ive had a few kz650s and they all have had a ground cable coming from behind the sproket cover.
Please Log in or Create an account to join the conversation.
- TexasKZ
-
- Offline
- Platinum Member
-

Registered
- Posts: 8185
- Thanks: 2674
Re: Charging woes :(
15 Mar 2019 11:04
If the wire in question is small diameter, say 14 gauge, it is either the neutral switch wire or a harness ground. Like the others here, I suspect it is for the neutral switch. Either way, it should not be connected to the battery. The battery ground, as Warren3200gt stated, goes directly from the battery - post to the engine case.
The correct service manual is crucial in this case. Unfortunately, both of the 650 manuals posted here are for three phase models. Hopefully, somebody has a link to the proper one. It would also be a good idea to be trolling fleabay for one.
The correct service manual is crucial in this case. Unfortunately, both of the 650 manuals posted here are for three phase models. Hopefully, somebody has a link to the proper one. It would also be a good idea to be trolling fleabay for one.
1982 KZ1000 LTD parts donor
1981 KZ1000 LTD awaiting resurrection
2000 ZRX1100 not ridden enough
www.kzrider.com/11-projects/620336-anoth...uild-thread?start=24
1981 KZ1000 LTD awaiting resurrection
2000 ZRX1100 not ridden enough
www.kzrider.com/11-projects/620336-anoth...uild-thread?start=24
The following user(s) said Thank You: Warren3200gt
Please Log in or Create an account to join the conversation.
- Warren3200gt
-
- Offline
- User
-

Registered
- Posts: 1720
- Thanks: 907
Re: Charging woes :(
15 Mar 2019 11:11
Are you sure your not confusing the live to the starter as an earth? It is quite large diameter compared to the rest of the loom. The starter itself is earthed because it is bolted to the engine case.
Please Log in or Create an account to join the conversation.
- Trackerkz650sr
-
Topic Author
- Offline
- Banned
-

Registered
- Posts: 43
- Thanks: 1
Re: Charging woes :(
16 Mar 2019 06:12
Ahhh you know what i bet its the starter live wire. My apologies
Sorry for the confusion
Sorry for the confusion
The following user(s) said Thank You: Warren3200gt
Please Log in or Create an account to join the conversation.
- Trackerkz650sr
-
Topic Author
- Offline
- Banned
-

Registered
- Posts: 43
- Thanks: 1
Re: Charging woes :(
18 Mar 2019 07:18
Does anyone have the measurements ill need ? Pretty please. I dont have a manual
And need to test my stator and or regulator
And need to test my stator and or regulator
Please Log in or Create an account to join the conversation.
Moderators: Street Fighter LTD
